首页

THIS NAME

学院动态

当前位置: 首页 >> 正文

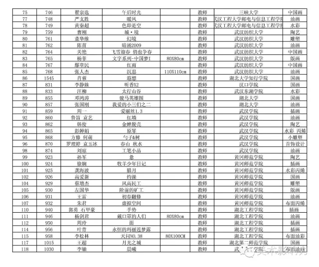
我系师生喜获第一届“学院空间”青年美术作品展奖

发布日期:2017-03-21    作者:ysx     来源:     点击:

根据《省教育厅省文化厅关于举办第一届“学院空间”青年美术作品展览的通知》(鄂教体艺函【2015】18号)精神,经过专家评审组对参展作品进行了评审,在教育厅、文化厅有关部门负责人的指导监督下,评审工作坚持公平公正的原则,经过专家组紧张而严肃地评审,共评选出金、银、铜奖及优秀奖若干名。我系教师和学生崭露头角,分别获得教师组铜奖一名、优秀奖五名,学生组优秀奖一名。现将获奖名单公布如下:

上一条:关于做好2017届毕业生体检工作的通知 下一条:“青春骄傲——我与我的祖国” 书画摄影比赛艺术学子喜获丰收

关闭